
作者:维尔克斯 时间:2025-7-21 2:23:01
这款皮秒微片激光器能提供中心波长为1064nm的单模短脉冲,其脉冲重复频率可以通过软件灵活调节,范围从单次发射到500kHz。其标称的脉冲宽度约为150皮秒。MCL-1064-150型号集成了一个配备泵浦二极管的微芯片和一个软件控制电子模块,该微芯片的核心是使用了带有半导体可饱和吸收镜的Nd:YVO4激光晶体。此外,德国batop最新推出光纤耦合微芯片激光器MCL-1064-150-f,光纤耦合微片激光器的输出由FC/APC端接的偏振保持单模光纤实现。
皮秒微片激光器MCL-1064-150和光纤耦合微片激光器MCL-1064-150-f的介绍:
- 微芯片激光模块MCL-1064-150(-f)
- 波长为1064nm的单模脉冲激光辐射,脉冲持续时间约为150ps
- 重复频率可调,从单发到500kHz
- 新推出了光纤耦合版本(MCL-1064-150-f)
微片激光器MCL-1064-150和光纤耦合微芯片激光器MCL-1064-150-f的规格参数:
|
指标 |
MCL-1064-150 |
MCL-1064-150-f |
|
激光发射 |
1064.0nm±0.2nm |
1064.0nm±0.2nm |
|
光束发散角 |
40mrad |
- |
|
束腰Beam waist |
φ32um |
- |
|
M2 |
< 1.3 |
- |
|
Mode field diameter模场直径 |
- |
6.6um±0.5um |
|
光纤类型IC连接器 |
- |
Fujikura SM98-PS-U25 I FC/APC |
|
脉冲能量 |
>12.5nJ |
>7.5nJ |
|
脉冲持续时间 |
150ps±30ps |
150ps±30ps |
|
重复率 |
Single shot-500KHz |
Single shot-500KHz |
|
时序抖动 |
<5ns@200kHz |
<5ns@200kHz |
|
尺寸 |
164mmx105mmx51mm |
180mmx105mmx51mm |
|
重量 |
900grams |
900grams |
|
电源 |
12V=/3A |
12V=/3A |
光纤耦合微片激光器MCL-1064-150-f和皮秒微片激光器MCL-1064-150的描述:
- 结构紧凑的激光模块,脉冲激光辐射波长为1064nm
- 可通过USB和控制程序调节重复频率,最高可达500kHz
- 以预先配置的重复率独立运行(无需软件控制)
- 可与外部时钟或脉冲同步
- 可选FC/APC端接偏振保持型单模光纤输出
光纤耦合微芯片激光器MCL-1064-150-f和皮秒微片激光器MCL-1064-150的应用:
- 微加工
- 光探测与测距(激光雷达)
- 精密测量
- 频率转换
- 种子激光器
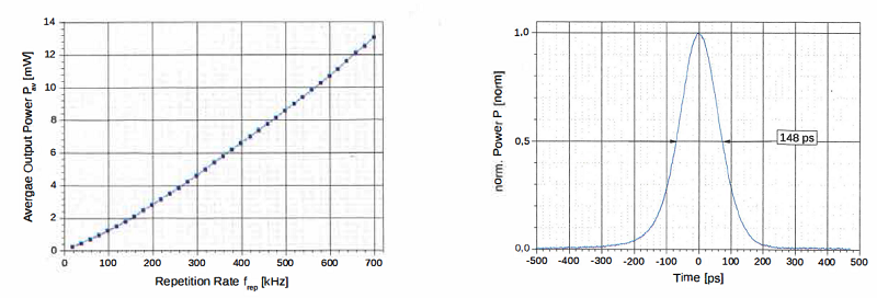
典型输出曲线图:
输出功率与重复频率 (MCL-1064-150) 输出脉冲
德国Batop MCL-1064-150和MCL-1064-150-f的前端面板说明:
1. 12V直流电源
2. USB接口
3. SMA连接器→脉冲输出
4. SMA连接器→触发输入
5. 状态LED
6. LED指示灯
7. 键锁开关
前端面板Frontpanel
德国Batop MCL-1064-150和MCL-1064-150-f的控制软件:
- 快速启动程序
开关
更改重复率
温度控制和状态
需要LabVIEW RTE 2016
- 通过USB端口自定义访问的LabVIEW驱动程序
快速启动程序Quick Start
Program