
作者:维尔克斯 时间:2025-12-4 2:24:29
南方科技大学陈树明团队在《Science Advances》期刊上发表了一项研究成果(论文题目:Nanosecond-pulsed electroluminescence from high current driven quantum-dot light-emitting diodes,第11卷,第12期,DOI: 10.1126/sciadv.ads1388)。他们成功实现了在高电流驱动下,通过溶液处理的量子点发光二极管(QLED)实现纳秒级脉冲电致发光。研究团队通过构建QLED的RC等效电路模型,系统分析了瞬态电流与电致发光的动态过程,深入揭示了载流子注入、积累和复合的机制。实验使用的纳秒信号发生器模块(脉宽10-200ns,输出电压16-36V)是定制开发的,德国PicoLAS旗下产品如LDP-V系列大电流脉冲驱动器(LDP-V 50-100,脉宽8ns-10us,输出电压0-100V)和PLCS-21信号发生器(重频1Hz-2MHz,脉宽2ns-1s)可满足实验的硬件需求。
成果所用器件中包含纳秒信号发生器模块,超窄脉冲模块是定制开发的,可输出10至200纳秒和16至36伏可调纳秒脉冲电信号。输出端口直接焊接到器件电极上以减少传输电阻,电路板上配备了一个50毫欧电阻用于TRC监控。通过ZJZCL‑2测试器测量了优化QLEDs在脉冲模式下的寿命,重复频率和脉冲驱动器脉冲宽度分别设置为50千赫兹和20纳秒。
Picolas公司可提供相关LDP-V大电流脉冲驱动器以及信号发生器用于量子点电致发光实验,如PicoLAS LDP-V 50-100驱动以及PLCS-21信号发生器。
-高输出电流:LDP-V输出电流范围为3-50A。实验中使用的峰值电流完全在其能力范围内,确保了能充分驱动激光二极管。
-超快上升时间:典型上升时间仅为2.3ns(最大4ns)。这保证了LDP-V驱动电流能够极其迅速地上升,从而产生非常“尖锐”的光脉冲,这对于精确的泵浦和避免热效应至关重要。
-可调脉冲宽度:支持8ns到10µs的脉冲宽度控制。20ns脉冲宽度正处于其最佳性能区间,既能提供足够的能量,又能保持高峰值功率。
-高重复频率:支持单次触发到2MHz的重复频率。100Hz的实验需求远低于其上限,工作非常稳定。
-易于集成与操作:该脉冲驱动器模块设计紧凑(75x44x20mm),仅需一个15-24V的直流电源和一个触发信号即可工作,非常适合集成到光学实验平台中。
-电流监控:脉冲驱动器内置20A/V的电流监控输出,便于实验人员实时监测和校准驱动电流。
PLCS-21脉冲信号发生器,支持电压15 V,脉宽2ns~1s,重频1 Hz~ 2Mhz,触发输入50 Ohm 5 V SMC, 500 Ohm 5V 2 Pin connector。
量子点电致发光论文核心内容
电荷载流子动力学与RC模型
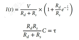
· QLED可建模为RC等效电路,其中Rs为串联电阻,Rd为二极管电阻,C为结电容。
· 瞬态电流与电致发光可分为四个阶段:延迟时间、上升时间、稳态时间与下降时间。
· 电容主要受空穴传输层厚度影响,表明电荷主要积累在TFB界面两侧。
快速响应QLED的优化策略
· 通过减小发光面积、使用高导热Si基板,有效降低Rd,提升电流密度。
· 采用外围Al辅助电极与后退火工艺,显著降低Rs,进一步提升电流至2760 mA/cm²。
· 电流密度从105 mA/cm²提升至753 mA/cm²,上升时间从2930 ns缩短至300 ns。
纳秒脉冲电致发光性能
· 在35 V电压、20 ns脉冲宽度下,电流密度达86 A/cm²,辐射出射度为5.4 W/cm²。
· 脉冲宽度在20–150 ns范围内均可稳定输出,重复频率达50 kHz。
· 在连续运行10天后,光强仍保持初始值的80%,表现出良好稳定性。
量子点电致发光应用展示
时间分辨荧光光谱
· 使用蓝色纳秒脉冲QLED作为激发源,成功激发红色与红外QD溶液。
· 自制系统与商用FS5光谱仪结果一致,验证其作为低成本激光替代源的可行性。
高速成像
· 使用绿色QLED作为20 ns曝光闪光,成功捕捉下落墨滴的瞬态过程。
· 与传统恒定照明相比,纳秒脉冲闪光可有效“冻结”高速运动物体。
量子点电致发光结论
本研究通过RC等效电路模型深入理解QLED的瞬态响应机制,系统优化器件结构与驱动条件,成功实现20 ns脉冲宽度的电致发光,辐射出射度达5.4 W/cm²。该QLED可作为低成本、高性能的瞬时激发源与曝光闪光,在超快光谱、高速成像、激光泵浦、光动力治疗等领域具有广泛应用前景。
以下是部分论文内容引言及结果:
具有高瞬时功率的超短光学发射由于其应用在超快光电子学、超快光谱学、高分辨率快速成像显微镜和材料加工方面而备受关注。通常,脉冲持续时间在纳秒到飞秒范围内的超短发射是通过激光器获得的,而激光器相当昂贵。为了降低成本,人们已经尝试开发基于无机III族氮化物基发光二极管(LEDs)的纳秒脉冲电致发光(EL)。通过精心设计LED结构并使用高电流源驱动LED,已经实现了具有10MHz高重复频率的10‑ns脉冲EL。这种超快LED已被广泛用作各种光谱应用的低成本激发源。最近,基于胶体CdSe或InP量子点(QDs)的LED作为显示应用的潜力器件受到了热烈研究。与LED相比,QD‑LEDs或QLEDs是通过溶液工艺制造的,这提供了独特的优势,包括成本较低、易于集成、更高的柔性和更大的面积兼容性,使它们在一些LED无法正常工作的特定场景中极具吸引力。典型的QLEDs基于有机‑无机杂化结构,通常使用无机ZnO纳米颗粒作为电子传输层(ETL)。使用ZnOETL提供了较低的电子注入势垒和高效的电子传输,使得最佳性能的红色QLED表现出1.6V的亚带隙开启电压、超过3,300,000cdm−2的最大亮度以及理论上超过39%的高外部量子效率(EQE)。这种优异的性能表明QLEDs具有很高的导电性,因此它们对电刺激的响应速度可以与LED一样快。一些快速响应的QLEDs已被开发并用于可见光通信,展示了2.5MHz的3‑dB带宽。然而,最佳性能的快速响应QLEDs只能发射微秒脉冲EL,和thusfar,超快QLEDs具有纳秒脉冲发射尚未被演示。
结果
电荷注入、积累、传输和复合动力学QLED本质上是p‑n二极管,因此可以建模为电阻电容等效电路,如图1A所示。Rs 是串联电阻,表征电极引线和接触引起的电阻。Rd 表示二极管电阻,该电阻受驱动电流调制。C是空间电荷区引起的结电容。图1B显示了由电压脉冲驱动的QLED的TRC和EL。器件最初作为电容器工作,因此在施加电压脉冲时,电荷会迅速从电极注入并充电,导致充电电流很大。一旦充电过程完成,电荷载体在QDs中传输和复合,导致稳态复合电流和稳定的EL。
通过拟合TRC使用C、Rs和Rd 都可以提取,详细内容见补充材料(第S1节)。如图1B所示,TREL与TRC密切相关,可以分为四个部分,由Td、Tr、Ts和Tf的时间常数表征,分别代表电致发光延迟时间、上升时间(定义为电致发光从10%上升到90%稳定值的时间间隔)、稳定时间和下降时间。
为研究电荷积累过程,测量并拟合了具有不同功能层厚度的高发射QLED(玻璃/Ag/IZO/PEDOT:PSS/TFB/QD/ZnMgO/超薄Al/IZO)的TRCs和EL(图S1至S3)。如图1C所示,拟合结果提取的电容几乎与QDs和ZnMgOETL的厚度变化无关,而随着聚[(9,9‑二辛基荧光蒽‑2,7‑二基)‑共‑(4,4′‑(N‑(4‑丁基苯基)))](TFB)空穴传输层(HTL)厚度的增加而逐渐减小,空穴传输层(HTL)的厚度增加。这一结果表明,TFB充当电容的介电层,因此电荷主要积累在TFB两侧的界面。通过检查QLED的能级对齐可以理解这一结果。如图1D所示,由于界面无势垒,电子可以有效地注入和传输到QDs。注入的电子最终积累在TFB/QD界面,而空穴主要由于存在0.4‑eV势垒而积累在聚(3,4‑乙烯二氧噻吩):聚(苯乙烯磺酸盐)(PEDOT:PSS)/TFB界面。因此,电容器主要受TFB厚度的影响。为启动EL,积累的空穴应通过TFB并与QDs中的电子复合。第一个空穴通过TFB并与电子复合所需的时间设定了Td。因此,Td 不仅受充电时间影响,还受TFB厚度影响,因为它决定了空穴传输时间。Td 对TFB厚度最敏感(图1H,底部),随着TFB厚度的减小而逐渐减小,如图1E(图S4)所示。EL开启后,更多空穴到达QDs,导致EL上升。当大多数空穴注入QDs后,它们通过QDs传输,以最大限度地重叠并与QDs中的电子复合,从而产生最大且稳定的EL。因此,Tr,表征大多数空穴与电子复合所需的时间,主要由QDs厚度决定。如图1(F和H)所示,Tr 主要由QDs厚度决定,当QDs厚度减小时会显著减小。
图1.电荷注入、积累、传输和复合动力学。(A)Qled的Rc等效电路示意图。(B)20千赫兹频率的5伏脉冲偏置的Qled的典型tRc和el。tRel分为四个阶段,由延迟时间(Td)、上升时间(Tr)、稳定时间(Ts)和下降时间(Tf)表征。a.u.,任意单位。(C)不同功能层厚度Qleds的电容计算值。(D)顶部发射绿色Qled的能带级示意图。电荷在tFB界面两侧积累。(E和F)不同htl厚度(E)和Qd厚度(F)的Qleds的tRel。(G)不同时间间隔Qleds中电荷注入、积累、传输和复合过程的示意图。(H)上升时间和延迟时间随htl、eMl和etl厚度的统计结果。
上述发现使我们能够描绘出QLED中电荷注入、积累、传输和复合过程的物理图像。如图1G所示,在施加电压(t = 0)后,电荷载体迅速注入并给电容器充电。充电结束时,它们在TFB界面的两侧积累。At t = Td,第一个空穴穿过TFB并与QDs中的电子复合。随着时间的推移,更多的空穴与电子复合,导致EL增加。(t = 0),大多数空穴已经穿过QDs并渗透到电子填充区域,导致最大复合速率和最大且稳定的EL。随着时间的推移,更多的空穴与电子复合,导致EL增加。At t = Ts,大多数空穴已经穿过QDs并渗透到电子填充区域,导致最大复合速率和最大且稳定的EL。
上述模型为快速响应QLED的优化提供了理论基础。显然,EL响应受Td 和Tr的影响很大,它们主要由TFB和QDs中的空穴传输时间分别决定。尽管通过减小TFB和QDs的厚度可以减少空穴传输时间,但器件性能可能会下降,使这种方法不切实际。通过提高TFB和QDs的空穴迁移率,或通过增加TFB和QDs上的电场,可以增强空穴速度,从而缩短空穴传输时间。此外,应减小Rs 和ETL的电阻,以便施加的电压主要降落在TFB和QDs上,以加速空穴的漂移。增强的空穴速度和Rs 与ETL减小的电阻导致电流改善。换句话说,快速响应EL通常在高电流驱动QLED中实现。因此,为了增强QLED的响应,我们特别关注通过减小QLED的Rd 和Rs 来提高电流,如下所述。
快速响应QLEDs的优化
通过有效热管理,面积归一化的Rd 可以显著降低。如图2A所示,与发射面积为4mm2 的器件相比,发射面积为1mm2 的QLED在高压下表现出显著更高的电流。例如,在施加电压为8V时,1mm2 器件显示出461mAcm−2的电流,比4mm2 器件的319mAcm−2 提高了1.44倍,而在低压下,两种器件的电流几乎相同。电压依赖性改进表明,焦耳热,主要在高电压下产生,应在影响电流方面发挥重要作用。这是合理的,因为焦耳热可以促进晶格振动,结果电荷载体散射更强,从而导致其迁移率降低。通过减小发射面积,不仅减少了焦耳热,而且有效地散失了焦耳热,从而提高了电流。如图2A所示,通过进一步用热导率更高的Si(20)替换玻璃基板,电流得到显著改善,证实了焦耳热影响了电流。图2B显示了从TRC(fig.S5)拟合结果中提取的Rd 。面积较小或使用Si基板的QLED显示出较低的Rd,这与J‑V结果一致。由于Rd的降低,器件可以更快地响应。例如,通过减小面积并使用Si基板,在施加电压为6V时,Tr 可以显著从2930ns降低到1500ns,如图2C所示。面积归一化的Rs 可以通过降低电极和接触的电阻来有效降低。我们的顶部发光QLED使用70‑纳米氧化铟锌(IZO)作为透明的顶部电极,这些电极表现出相对较高的电阻,从而限制了电流的改善。通过为IZO顶电极配备一个周边辅助Al电极(图S6),电阻可以大大降低。如图2D所示,使用Al周边辅助电极时,QLED在8伏特下表现出2347mAcm−2 的电流,比对照器件高3.7倍。通过进一步退火器件以促进金属电极和半导体之间的金属化(32–34),可以获得合金接触,这不仅降低了接触电阻,还提供了无势垒的欧姆注入,这两者都使电流进一步改善到2760mAcm−2,如图2D所示。由TRC(图S7)的拟合结果所示,这种改善的电流归因于Rs的降低。具有更小的Rs 和增强的电流,器件响应更快。如图2E所示,通过使用周边Al辅助电极和退火器件,Tr 从1500大大降低到300ns。图2F总结了器件结构对Rd、Rs和电流的影响。通过有效热管理,Rd 减少了1.7倍,而通过使用外围Al辅助电极和退火,Rs 有效地减少了2.17倍。通过我们的专用器件结构,Rd 和Rs逐渐减少,从而使得电流从319增加到2760mAcm−2 在8V下,提高了8.7倍。图2F还显示了电流与Tr之间的关系。在6V的施加电压下,当电流从105增加到753mAcm−2时,Tr 显著减少从2930到300ns,提高了9.7倍。显然,快速响应的EL直接来自高电流驱动的QLED。因此,为了提高响应速度并实现纳秒脉冲EL,电流应该进一步增强。
图2.快速响应QLEDs的优化。(A)电流密度(J)‑伏特特性。(B)Rd‑伏特特性(Rd 归一化到发光面积)。(C)不同面积和基板的器件的tRel。(D)具有或不具有金属线辅助电极或退火的器件的J‑伏特特性和(E)tRel。(F)器件结构对Rd,Rs (Rs 归一化到发光面积)、电流和Tr的影响。
图3.纳秒脉冲EL来自高电流驱动QLED。(A)快速响应Qled的器件结构示意图。(B)由35‑v电压脉冲和150‑ns脉冲驱动的Qled的tRc和el。(C)由35‑v(对应电流密度超过86Acm−2)源驱动的Qled的tRel,脉冲持续时间从20增加到150ns。(D)由20‑ns电压源驱动的Qled的tRel输出,电压从18增加到35v。(E)Qled的eQe和辐射出射度随电流密度的变化。(F)由峰值35v、脉冲持续时间20ns、重复频率50khz的电压源驱动的Qled的纳秒脉冲EL稳定性测试。
图4.纳秒脉冲QLED在时间分辨荧光光谱中的应用。(A)tRPl光谱的家制装置示意图。tRPl曲线的(B)红色Qd和(D)红外Qd溶液由具有不同脉冲宽度的Qled和商业爱丁堡FS5光谱仪激发。平均激子寿命的(C)红色Qds和(E)红外Qds。(F)Qd溶液的吸收和Pl光谱以及蓝色Qled激发源的el光谱。
图5.纳秒脉冲QLED在高速成像中的应用。(A)使用绿色Qled和20‑ns‑脉冲光作为曝光闪光的家用高速成像系统的示意图。(B)纳秒脉冲闪光(顶部)和恒定照明(底部)的高速成像时序。(C和D)在恒定照明下,传统相机(c)和高速相机(d)拍摄的快速下落的墨滴照片。(E和F)在20‑ns‑脉冲光下,传统相机(e)和高速相机(F)拍摄的快速下落的液滴照片。