
作者:维尔克斯 时间:2025-3-17 11:18:03
HC Photonics公司具备制造高品质周期极化铌酸锂(PPLN)晶体的能力。为了帮助您更清晰地掌握PPLN晶体的折射率、透射率、非线性系数、损伤阈值以及相位匹配的条件与结构,本文将详细阐述PPLN的材料特性,以解答您可能存在的疑问。如果您对HCP龙彩科技的周期极化LiNbO3晶体周期极化铌酸锂晶体感兴趣,请联系我们。
PPLN折射率:
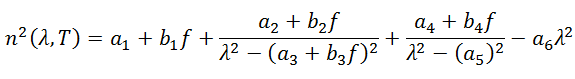
温度依赖的折射率可以通过以下Sellmeier方程来描述:
其中温度相关参数f为
Sellmeier系数为
该特性描述了色散(PPLN折射率与波长的关系)和PPLN晶体双折射特性(偏振依赖性),从而确定了PPLN相位匹配条件、PPLN相位匹配带宽等。
从非线性波混频过程的实际应用考虑,PPLN材料特性非线性光学材料的关键特性可以通过以下几个方面来表征:(1)透明范围,(2)折射率,(3)非线性强度和相位匹配方案,(4)损伤阈值。透明范围确保了非线性波混频过程在无吸收范围内进行。材料的折射率与相位匹配设计和混频效率相关。非线性强度和相位匹配方案是优化所选非线性光学材料波混频效率的主导因素。损伤阈值表征了器件在不引起表面或内部激光损伤的情况下能够处理的最大输入/输出功率。下表总结了透明范围及其他选择非线性材料的关键因素。
周期极化LiNbO3等关键非线性材料性质的总结:
|
材料/特性 |
LiNbO3 |
LiTaO3 |
BBO |
LBO |
KTP |
|
透明度范围(nm) |
350-5000 |
280-5000 |
190-2500 |
160-2600 |
350-450 |
|
折射率 |
ne=2.1560 no=2.2325 |
ne=2.1304 no=2.1138 |
ne=1.5425 no=1.6551 |
na=1.5656 nb=1.5905 nc=1.6055 |
na=1.7367 nb=1.7395 nc=1.8305 |
|
非线性强度(pm/V) |
d22=2.59 d31=4.85 d33=25.3 |
d22=1.64 d31=2.73 d33=16.0 |
d22=1.6 d31=0.08 |
d22=1.24 d31=1.12 d33=0.06 |
d22=6.5 d31=5.0 d33=13.7 |
|
10ns时损伤阈值 (GW/cm^2) |
0.3 |
>LiNbO3 |
>1(未镀膜) >0.5(镀膜) |
>9(未镀膜) >1(镀膜) |
0.5~1.2 |
|
相位匹配方案 |
QPM, BPM |
QPM, BPM |
BPM |
BPM |
QPM, BPM |
|
FOM (Figure of Merit) |
25.88 QPM d33 |
10.73 QPM d33 |
0.27 BPM d21 |
0.16 BPM d32 |
14.4 QPM d33 |
PPLN透射率:
下图展示了一个透射光谱的例子,显示了未镀膜的周期极化LiNbO3周期极化铌酸锂晶体(PPLN晶体)的PPLN透射率(%)与波长的关系。PPLN晶体在紫外(UV)到中红外(MIR)透明范围内,透射率并未达到100%,这是由于周期极化LiNbO3未镀膜表面的反射造成的,这一问题可以通过镀合适的增透膜来改善。然而,在近紫外和近中红外范围内的陡峭斜率是由于周期极化铌酸锂晶体材料吸收引起的。此外,在2870nm附近有一个透射率下降,这是由于OH-吸收造成的。
虽然当波长小于400nm和大于4000nm时PPLN透射率开始下降,但PPLN晶体周期极化铌酸锂晶体仍然适用于这些范围,但具有更高的吸收损耗。
PPLN非线性强度和PPLN相位匹配结构:
二阶非线性(Second-order nonlinearity)表征了电介质对电场的响应强度。为了方便,我们可以定义一个二维(6×3)的非线性电介质张量,通常称为Kleinman d-张量,来描述非线性的强度:
在实际情况下,根据晶体类别,由于晶体结构的对称性,许多张量分量实际上可以简化为零。例如,铌酸锂(LiNbO₃)的d-张量(属于三角晶系3m晶体类别)可以表示为:
在周期极化铌酸锂晶体(周期极化LiNbO₃)中,非线性d系数的值为:d22=2.59pm/V,d31=4.85pm/V,d33=25.3pm/V。有效非线性系数deff(单位为pm/V)描述了非线性频率混频的效率。对于PPLN准相位匹配(QPM)配置,当极化方向沿Z轴时,有效非线性系数deff会减小一个2/π因子,即:deff=(2/π)d33。
PPLN损伤阈值:
损伤阈值描述了非线性材料在不引起表面或材料损伤或其他不良效应的情况下能够承受的最高功率。激光诱导损伤阈值(LIDT)的机制可能包括:(a)热效应,(b)激光诱导击穿,以及(c)表面损伤等。其他不良效应还包括非线性自聚焦、光致变暗(灰迹效应)和绿光诱导红外吸收(GRIIA)等。
从实际应用的角度考虑,激光诱导损伤阈值(LIDT)将取决于以下工程优化因素:工作波长,峰值/平均功率,空间聚焦条件,时间脉冲宽度,脉冲能量,表面质量以及集成封装等等。
因此PPLN损伤阈值需要综合多个因素和条件来考虑。
以上就是根据HCP龙彩科技的PPLN晶体总结的PPLN材料特性,如PPLN折射率,PPLN透射率,PPLN非线性强度,PPLN损伤阈值和PPLN相位匹配结构和条件。如果您有采购的需求或者疑问,欢迎联系我司。