

EKSPLA uniLDD是一款模块化激光二极管驱动器(亦称控制器),专为二极管泵浦固体激光器设计。其核心功能在于对激光二极管进行高精度的电流与温度控制。该驱动器兼容性广泛,支持单发射器、条形、堆叠、VCSEL及LED等多种类型的二极管,并可在连续和准连续脉冲两种工作模式下运行。
所属品牌: Ekspla
负责人:包工
联系电话:13417596712 电子邮箱:cxbao@welloptics.cn
uniLDD激光二极管驱动器,0.1% pk-pk,输出功率高达6kW,带内部TEC控制
EKSPLA uniLDD是一款模块化激光二极管驱动器(亦称控制器),专为二极管泵浦固体激光器设计。其核心功能在于对激光二极管进行高精度的电流与温度控制。该驱动器兼容性广泛,支持单发射器、条形、堆叠、VCSEL及LED等多种类型的二极管,并可在连续和准连续脉冲两种工作模式下运行。
立陶宛EKSPLA激光二极管驱动器uniLDD主要特性:
- 当前范围从10A到1200A
- 符合电压范围从1V到600V
- 电流稳定性0.1% pk to pk
- Current ripple电流纹波0.1% pk to pk
- 输出功率高达6kW
- 保护功能
瞬态(过载)保护;开路关闭;过温关闭;电源电压暂降(电压骤降)关闭;互锁停机。
- 驱动器可同时作为TEC控制器和LDD电流源工作
- 可通过模拟和数字(CAN、RS232)接口进行控制
- 独特的可定制模块化设计,使得驱动器能精确满足OEM客户的需求
- 从询价、原型制作到大批量生产阶段,快速高效
uniLDD系列激光二极管控制器可提供10A-1200A的电流,同时保持0.1% pk-pk电流纹波和幅度稳定性。这款0.1% pk-pk二极管驱动模块的合规电压范围从1V-600V,在绝大多数情况下,EKSPLA会对激光二极管驱动器进行部分定制或完全定制,使在用户所需的工况下实现更好的性能。对于大批量的OEM用户,还通过移除过多组件来定制激光二极管控制器,使得驱动器在参数、成本和尺寸方面达到更好的效果。
一些uniLDD激光二极管驱动器版本可以同时作为激光二极管的电流源和TEC控制器,也称为珀尔帖元件热控制器。其中,一些0.1% pk-pk二极管驱动模块版本可以包含多达两个输出通道,这些通道可以作为两个独立的TEC控制器使用。
图1:激光二极管驱动器uniLDD(Laser diode driver)图示
立陶宛EKSPLA激光二极管驱动器uniLDD应用:
0.1% pk-pk二极管驱动模块Laser diode driver适合用于基于晶体、光纤或直接二极管技术的飞秒、皮秒、纳秒和连续波固体激光器的泵浦,常见的应用领域有:
- 工业激光领域:微加工、焊接和切割
- 医疗激光领域:眼科、皮肤科和外科
- 科研领域:核聚变研究、光谱学和超高能物理
立陶宛EKSPLA激光二极管驱动器uniLDD命名方式:
uniLDD系列激光二极管控制器规格参数:
|
型号 |
uniLDD-C-C |
uniLDD-C-QCW |
uniLDD-A-CW |
|||
|
输出规格 |
||||||
|
工作模式 |
CW1) |
QCW2) |
CW1) |
QCW2) |
CW |
QCW |
|
合规电压范围,min-max3) |
1–70V4) |
- |
1–70V |
1–65V |
1–50V |
- |
|
电流范围,min-max |
10–100A5) |
10–100A |
10–160A |
10–100A |
||
|
最大功率 |
3kW6) |
3kW |
3kW |
2kW |
||
|
功率转换效率 |
90–98% |
|||||
|
电流脉冲振幅稳定性 |
0.1%pk to pk7) |
|||||
|
电流纹波Current ripple |
0.1%pk to pk8) |
|||||
|
当前漂移Current drift |
<0.2% 9) |
|||||
|
工作周期 |
- |
≤20% |
- |
|||
|
重复频率,最大 |
≤5kHz |
|||||
|
电流上升时间,典型值 |
5–100μs10) |
|||||
|
电流脉冲持续时间,典型值 |
高达100ms11) |
|||||
|
有效值电流,最大值 |
100A |
|||||
|
TEC内部控制通道的功能数量 |
0, 1or212) |
|||||
|
TEC 控制电流 min-max per channel |
1–25A |
|||||
|
TEC 控制电压 min-max per channel |
1–36V |
|||||
|
TEC控制功率 max per channel |
350W |
|||||
|
输入规格 |
||||||
|
电源要求(功率级),min |
UPS in min(V)=ULDD out max+5 PPS in min(W)=ILDD out max*ULDD out max*duty cycle max/100%*1.2 |
|||||
|
电源要求(控制级) |
12V, 10W |
12V, 15W |
||||
|
控制界面 |
默认为模拟、CAN和RS232,可根据要求提供USB、LAN和WLAN13) |
|||||
|
软件 |
默认包含Ekspla的控制软件和协议说明 |
|||||
|
保护措施Protections |
瞬态电流(过载)保护;开路关机;过温关机;电源电压断电(电压骤降)关机;联锁关机 |
|||||
|
物理特性 |
||||||
|
尺寸 (LxWxH)14) |
130x90x30mm |
130x90x54mm |
208x65x103mm |
|||
|
操作要求 |
||||||
|
冷却方法 |
导电 |
强制通风 |
||||
|
工作环境温度 |
≤40℃ |
|||||
|
工作底板温度 |
≤50℃ |
- |
||||
|
附件 |
||||||
|
CAN-USB适配器 |
评估时需要使用Ekspla的CAN-USB适配器 |
|||||
|
通信板 |
Ekspla的通信板,可通过RS232、USB、局域网、无线局域网接口控制驱动程序 可根据要求提供 |
|||||
|
电压升压板 |
Ekspla的升压板可延长一些uniLDD型号的输出合规电压。在某些情况下,输出合规电压可提高到600V,可根据Ekspla的建议在出厂时添加 |
|||||
|
底板Baseplate |
铜,默认包含 |
铝,根据要求包括在内 |
||||
|
输出电源电缆 |
根据要求提供,可定制直径和长度 |
|||||
|
输入电源电缆 |
根据要求提供,可定制直径和长度 |
|||||
|
控制电缆 |
默认包含 |
|||||
|
外部电容器 |
根据Ekspla的建议,也可包括在内。可根据要求定制外部电容器的安装方案 |
|||||
|
型号 |
uniLDD-A-QCW |
Bi-uniLDD-A-QCW |
Tri-uniLDD-A-QCW |
||||||
|
输出规格 |
|||||||||
|
工作模式 |
CW |
QCW |
CW |
QCW |
CW |
QCW |
|||
|
合规电压范围,min-max3) |
1–50V |
1–85V |
1–50V |
1–85V |
1–50V |
1–85V |
|||
|
电流范围,min-max |
10–100A |
10–360A |
20–100A |
20–800A |
30–300A |
30–1200A |
|||
|
最大功率 |
2kW |
2kW |
4kW |
4kW |
6kW |
6kW |
|||
|
功率转换效率 |
90–98% |
||||||||
|
电流脉冲振幅稳定性 |
0.1% pk to pk7) |
||||||||
|
电流纹波Current ripple |
0.1% pk to pk8) |
||||||||
|
当前漂移Current drift |
<0.2%9) |
||||||||
|
工作周期 |
|
≤20% |
|
≤20% |
|
≤20% |
|||
|
重复频率,最大 |
≤5kHz |
≤5kHz |
≤5kHz |
||||||
|
电流上升时间,典型值 |
5–100μs |
5–100μs |
5–100μs |
||||||
|
电流脉冲持续时间,典型值 |
高达100ms |
高达100ms |
高达100ms |
||||||
|
有效值电流,最大值 |
80A |
160A |
240A |
||||||
|
TEC内部控制通道的功能数量 |
0, 1 or 212) |
0 |
|||||||
|
TEC 控制电流 min-max per channel |
1–25A |
- |
|||||||
|
TEC 控制电压 min-max per channel |
1–36V |
||||||||
|
TEC控制功率 max per channel |
350W |
||||||||
|
输入规格 |
|||||||||
|
电源要求(功率级),min |
UPS in min (V)=ULDD out max+5 PPS in min(W)=ILDD out max*ULDD out max*duty cycle max/100%*1.2 |
||||||||
|
电源要求(控制级) |
12V, 15W |
12V, 20W |
12V, 25W |
||||||
|
控制界面 |
默认为模拟、CAN 和 RS232。 可根据要求提供 USB、LAN和WLAN13) |
||||||||
|
软件 |
默认包含Ekspla的控制软件和协议说明 |
||||||||
|
保护措施Protections |
瞬态电流(过载)保护;开路关机;过温关机;电源电压断电(电压骤降)关机;联锁关机 |
||||||||
|
物理特性 |
|||||||||
|
尺寸 (LxWxH)14) |
208x65x103mm |
250x146x98mm |
250x200x98mm |
||||||
|
操作要求 |
|||||||||
|
冷却方法 |
强制通风Forced-air |
||||||||
|
工作环境温度 |
≤40℃ |
||||||||
|
附件 |
|||||||||
|
CAN-USB 适配器 |
评估时需要使用Ekspla的CAN-USB适配器。 |
||||||||
|
通信板 |
Ekspla的通信板,可通过RS232、USB、局域网、无线局域网接口控制驱动程序。 可根据要求提供 |
||||||||
|
电压升压板 |
Ekspla的升压板可延长一些uniLDD型号的输出合规电压。在某些情况下,输出合规电压可提高到600 V。可根据Ekspla的建议在出厂时添加 |
||||||||
|
底板Baseplate |
铝,根据要求包括在内 |
铝,默认包含 |
|||||||
|
输出电源电缆 |
根据要求提供,可定制直径和长度 |
||||||||
|
输入电源电缆 |
根据要求提供,可定制直径和长度 |
||||||||
|
控制电缆 |
默认包含 |
||||||||
|
外部电容器 |
根据Ekspla的建议,也可包括在内。可根据要求定制外部电容器的安装方案 |
||||||||
1) 连续波Continuous-wave。
2) 准连续波(又称脉冲波)。
3) 最小和最大限值之间的范围。并非所有最大限值都能同时达到。
4) 使用升压板布局可延长某些版本的最大合规电压。更多信息,请参见“附件”→“升压板”部分。
5) 对于一些型号,可通过并联驱动器来扩展最大电流。
6) 对于一些型号,可通过增压器板布局扩展最大功率。更多信息请参见“附件”→“增压器板”部分。
7) 在×0.5...×1的最大电流范围内。
8) DC...100 kHz带宽,最大电流范围的×0.5...×1倍。
9) 冷启动,8小时,5分钟预热后。
10) 出厂软件可根据客户要求进行调整。
11) 出厂软件和硬件根据客户要求进行调整。
12) 出厂时根据客户要求启用。
13) 在使用Ekspla外部通信板时,可根据客户要求提供USB、LAN和WLAN控制接口。
14) 由于风扇和电流传感器等硬件的细微差别,驱动器的外部尺寸可能会有±20mm的变化
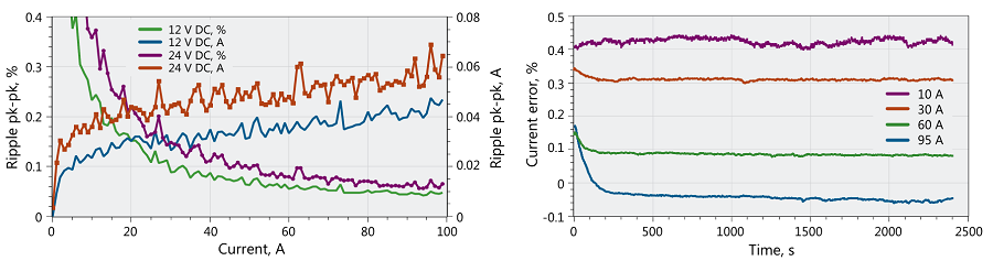
uniLDD系列激光二极管控制器的性能曲线:
图2(左图):uniLDD纹波电流,12V和24V直流电源,2V结+10MΩ串联R负载
图3(右图):uniLDD电流漂移和长期稳定性,不同电流下的冷启动
EKSPLA二极管驱动模块uniLDD的引脚介绍:
|
引脚Pin |
Signal名称 |
方向 |
电压等级 |
描述 |
|
1 |
Enable |
输入 |
TTL(LVTTL) 200µA上拉至3.3V |
启用功能允许 TEC 驱动器运行,从而允许 LDD 驱动器运行。 |
|
2 |
准备运行(RTO) |
输入/输出通过330Ω电阻 |
>2.4V驱动器输出处于活动状态,<0.5V输出被钳位 |
当“活动RTO”启用且驱动器处于活动状态时,驱动器会将RTO连接至“高”。警报会将RTO钳位至低电平并禁用驱动器输出。外部设备可将RTO钳位至地并禁用驱动器输出。RTO允许连接并联的多个驱动器的故障电路 |
|
3 |
Interlock |
输入 |
10kΩ pull up to 3.3V, LOW=<0.4V |
联锁功能可以连接到外部安全或机器保护开关,如门或温度开关。打开=关闭连接到GND=运行 |
|
4 |
GND |
- |
||
|
5 |
Vout Monitor |
输出 |
Vout, 驱动输出电压 |
输出电压监视器。 Vout=二极管顺从电压+连接线上的电压降 |
|
6 |
Iout Monitor |
输出 |
0-10V*=0-Ioutmax |
输出电流监视器 |
|
7 |
Iprogram |
输入 |
0-10V*=0-Ioutmax |
输出电流设置或通过施加电压进行调制,CW和脉冲模式 |
|
8 |
脉冲 |
输入 |
TTL, LVTTL positive pulse |
触发输入模式:触发输入。 向该连接器提供的上升脉冲将触发预设宽度的输出电流脉冲。 在时间门控模式下:用于启动/停止输出电流的输入"。 触发输入 "连接具有相同的功能 |
|
9 |
GND |
- |
||
|
10 |
+5V |
输出 |
Auxiliary 200mA |
- |
|
11 |
+5V |
输出 |
Auxiliary 200mA |
|
|
12 |
-15V |
输出 |
Auxiliary 200mA |
|
|
13 |
+15V |
输出 |
Auxiliary 200mA |
|
|
14 |
+15V |
输出 |
Auxiliary 200mA |
|
|
15 |
GND |
- |
||
图4:D-sub 15针母模拟接口连接器
EKSPLA二极管驱动模块uniLDD产品图示:

图5:uniLDD系列激光二极管控制器尺寸