
作者:维尔克斯 时间:2025-4-28 10:41:46
原文标题:Robust 17 W single-pass second-harmonic-generation at 532 nm and relative-intensity-noise investigation
我们演示了 17 W 单频、低强度噪声 532 nm 绿光光源,在通过30 mm 掺杂MgO周期极化化学计量钽酸锂晶体(MgSLT晶体)中单程产生 50 W 连续波光纤激光器的二次谐波。最大转换效率约为 37%,获得了近高斯光束(15 W 时 M2 <1.15)和低波前畸变。该MgO:SLT晶体系统在 100 小时不间断运行中表现出稳定的行为,从理论和实验上对Mg:SLT晶体(周期极化掺镁钽酸锂晶体)以高分辨率研究了相对强度噪声从基波到二次谐波的转移演变。
发射绿光的单频 (SF) 连续波 (CW) 激光器在冷原子物理 [1]、干涉测量 [2]、固体激光泵浦 [3] 或光学参量振荡器 [4] 以及深紫外线生成 [5] 等各个领域都很重要,尤其是在频率和强度噪声至关重要的情况下。然而,由于缺乏此波长范围内的激光材料,因此无法直接产生 532 nm 辐射。非线性相互作用,例如光纤激光器、固体激光器或半导体发射器的二次谐波生成 (SHG),是实现可见波长的更传统方法。多年来,光纤激光器已证明,在可靠性、稳健性和模式质量方面,它们是具有低强度和频率噪声的高功率 SF 系统的良好选择。
可见光激光器的功率扩展与可达到数百瓦的 SF 红外 (IR) 光纤激光器的功率扩展相关。利用腔内 IR 辐射 SHG 可以开发出高效、强大的高效率 CW 激光器 [6,7]。然而,腔体稳定性和热效应会给系统带来额外的复杂性,这可能会影响 SF 模式的性能和稳定性。
单程二次谐波生成 (SHG)是一种很好的替代方案,无需腔体稳定。因此,倍频光束的频率和强度噪声与基源直接相关,没有额外的限制。在 CW 范围内,单程 SHG 转换效率受到传统双折射非线性晶体的限制。另一方面,准相位匹配 (QPM) 条件下的周期极化晶体 (PP) 非线性晶体,如 LiNbO3 (PPLN)、KTiOPO4 (PPKTP) 和 LiTaO4 (非线性PPSLT晶体或称为Mg:SLT晶体),非线性晶体受益于高非线性系数和长相互作用长度(几厘米),因此即使在 CW 操作中也能实现高转换效率。然而,此类设备仍然受到有害影响,热致退化是主要问题 [8]。由于周期极化掺镁钽酸锂晶体其高非线性系数 deff=9.6 pm.V-1 和相对较高的损伤阈值,尤其MgO:SLT晶体是在掺杂 MgO 的情况下,非线性PPSLT晶体(MgSLT晶体或称为Mg:SLT晶体)已成为达到数十瓦绿光功率的最有效晶体,MgO:SLT晶体大大降低了影响介质热性质的绿光诱导红外吸收 (GRIIRA)[9]。对于 PPLN,MgO掺杂是抵消光折变效应的良好替代方案 [10],但它仍然受到 GRIIRA 的影响 [9]。对于非线性PPSLT晶体(MgSLT晶体或称为周期极化掺镁钽酸锂晶体),开创性的实验已经证明在 CW 范围内绿光超过 14W。2008 年,Sinhaetal。[11] 发表了使用 75W 基本功率(16% 转换效率)在 532nm 处产生 19W 功率,M2 为 1.19,每个轴为 1.05。Shuklaetal。 [12] 展示了其在效率方面的出色表现,其输出功率为 14.5 W,效率为 35.5%。[13–15] 的几项研究主要侧重于对热效应的理解,从而更好地理解了影响 SHG 过程的关键参数,例如热透镜或热失相对高功率范围内的最佳聚焦参数的影响。除了 Zengetal 最近的一项研究外,对非线性过程中的强度噪声的研究很少。[16] Zengetal 展示了一种低噪声绿光激光器,其输出功率为 10 W,单程效率创下了 38.3% 的记录,并尝试测量基波和 SH 激光器之间的相对强度噪声 (RIN) 传输,估计值为 6dB,这在以前的研究中已经进行了测量[17]。
图 1. e1=1.6 和 e2=1.05 时的 SH 功率和效率与基波功率的关系。
图 1 绘制了两种聚焦配置下 SH 功率与基波红外功率及其相应转换效率的关系。在这两种情况下,在高功率下,SH 功率随基波线性增加,当 e1=1.6 和 e2=1.05 时,效率分别为 h1=38% 和 h2=36.5%。束腰位置经过优化,可减少热效应,同时保持有效的相互作用。在紧密聚焦的情况下,当功率水平高于 15 W 时,模式质量会明显下降,这可能是由于PPSLT晶体内部的功率密度所致。这可能会导致性能恶化甚至潜在损坏,如文献 [16] 中所报道的 13 W SH 功率,束腰为 w=33.8 m(w=2.084)。
图2. 高功率可见光激光器示意图。WG,波发生器;AOM,声光调制器;M,镜子;BS,分束器;DM,二向色镜;FL,聚焦透镜;CL,准直透镜;PM,功率计;PBS,偏振分束器。
在本文中,我们重点研究了光纤激光器的二次谐波生成 (SHG)功率缩放,该激光器在 1064 nm 下提供高达 50 W 的 SF 功率,最大转换效率为 36.5%,在 532 nm 下可达到 17 W。此外,我们使用高分辨率方法 (0.2 dB) 和理论建模研究了基波和谐波光束之间 RIN 传输比的演变。此外,我们还研究了不同功率下波前的演变,这与模式质量直接相关。图 2 总结了用于这项工作的实验装置。基本红外辐射由线宽 <30 kHz 的外腔二极管激光器 (ECDL) 产生,其特征是具有窄线宽 SFlaser(<10 kHz)[18] 的异差拍音信号。它为高功率主振荡器功率放大器 (MOPA) 提供种子,可提供高达 56 W 的超低强度噪声激光器,M2 < 1.1 [19]。即使 MOPA 发出的是线性偏振光束,四分之一波片和半波片也能在两个镜子引起的偏振态潜在变化后确保线性偏振。研究中使用了两个不同的焦距 f1=60mm 和 f2=75mm。这导致 30*0.5*1 mm PPSLT晶体(氧化物 - 光栅周期为 8.0 um)内的基腰半径为 w1=38 m 和 w2=48 um,对应聚焦参数为 e1=1.6 和 e2=1.05(根据 Boyd 和 Kleinman 聚焦条件 [20])。为了最大限度地减少诱导的热透镜效应,晶体及其自制烤箱安装在平移板上,工作温度为 39.4C(溶液为 0.05C)。使用二向色镜(1064nm 时 R >99.5%,532nm 时 HT >99%)来区分 SH 和基波光束。最后,放置在两条路径上的分束器可以进行 RIN 测量和光束分析。值得注意的是,所有光功率测量的精度都在 +/ 1% 以内,并通过比较多个校准的热探测器进行了验证。
图 3. 当 e1=1.6 和 e2=1.05 时,M2质量因子随 SH 生成功率的变化。
首先通过图 3 中报告的 M2 测量来评估模式质量的演变,高达 12 W 的 SH 光功率 M2 <1.1 沿两个轴。对于紧密聚焦,e1=1.6,值增加到 15.2 W 时的 M2x=1.32 和 M2y=1.24,这与功率缩放期间的观察结果一致。对于 e2=1.05 的情况,退化速度较慢,导致 17 W 时的 M2x =1.23 和 M2y=1.17。沿两个轴报告的不同值与晶体尺寸有关,垂直方向的散热效率高于水平方向。为了更好地了解功率缩放过程中的光束退化,我们选择使用高分辨率波前分析仪 (Phasics SID4) 测量不同光功率下的波前。由于 M2 增强始于约 14 W,我们选择将参考波前设置为 9.5 W 的输出功率,低于模式退化的开始,并且我们在增加功率的同时测量了相对波前变化。图 4 绘制了 e2=1.05 的 532 nm 绿色光束的 RMS 相位值。它遵循与 M2 测量相同的趋势,在 12W 的 SH 功率左右开始上升。此外,图 3 中观察到的 x 和 y 轴的不对称性与不同轴的低阶 Zernike 散光系数和彗差的不对称性有很好的相关性。该分析表明波前变化非常低(≈ λ/100)。此外,相位图分析(未显示)表明这些像差主要是由于相位修改造成的。这可以用可变形镜或相位掩模来纠正。尽管 M2 退化,但测量结果显示波前质量非常好。
图 4. 波前 RMS 相位变化与光束两个轴上的 SH 功率(上)、像散(左下)和彗差(右下)的关系,说明了 M2 在高 SH 功率水平下的不对称性。e2=1.05。
尽管 SF MOPA 的强度噪声源已被广泛研究 [21,22],但其对 SHG 的影响仍有待了解。首先,我们分别使用 InGaAs 和 Si 光电二极管(e2=1.05)测量了基波和 SH 光束的 RIN 功率谱密度 (PSD),如图 5 所示。每个光电探测器的光电流调整为 10 mA。对于每个信号,放大的 AC 分量由矢量信号分析仪 (VSA, HP89410A) 处理以进行 FFT 测量。积分 RMS 噪声从基波的 0.011% 增加到 SH 的 0.028%(100 Hz 至 10 MHz)。如 [18] 所示,使用宽带强度控制反馈可以轻松将此值降低到 0.004%。比较这两个图,可以看到在非线性过程中基波光束强度噪声转移到 SH 光束。明显的影响是,在傅里叶频率 >100 kHz 时,RIN PSD 均匀增加了近 4 dB,与预期的 6 dB 有所偏差。受泵浦噪声或环境扰动影响的低频波动在两次测量之间可能会相差几分贝。为了研究这一现象,我们选择在 1 MHz 处创建一个强度调制音,并测量基本强度噪声传输到 SH 的变化。1MHz 调制是通过插入种子激光器和光纤放大器 [21] 之间的光纤尾纤一阶声光调制器 (AOM) 产生的(图 1)。对于约 1% 的调制深度,信噪比约为 55 dB(1 Hz BW)。该技术可使误差低于 0.2dB,因此比 RIN 图的比较准确得多。我们已准确验证,在误差范围内,测量值在频率范围(100 kHz–5 MHz)内与调制频率无关,线性度在很宽的调制深度范围内(0.3–3%)保持不变。图 5 底部面板绘制了测量值与 SH 功率的关系。从非常低的功率(<0.5W)下的 6dB 开始,比率在高功率(>15W)下下降到约 4 dB 的稳定水平。
图 5. 最大功率为 17 W 时基波和 SH 光束的 RIN(顶部);1MHz 调制下 SH 和基波 RIN 之比随 SH 功率变化的变化(底部)。
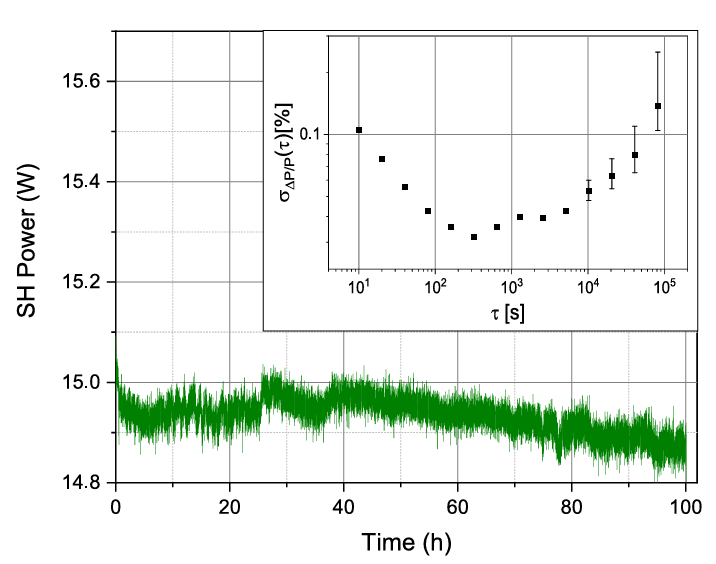
为了评估系统的稳健性和可靠性,我们对约 100 小时的不间断运行进行了长期稳定性测量,如图 6 所示。除了环境变化带来的波动外,没有发现模态和功率下降。使用图 6 插图中所示的 Allan 偏差 [24] 统计工具对结果进行处理,就像之前在 [18,25] 中所做的那样。Allan 偏差提供了相对于测量时间的相对功率波动的有意义的图像。对于从 10 秒到 105 秒的测量时间,相对波动几乎不超过 0.1%。这证实了系统的稳健性。据我们所知,这是文献中报道的单程系统在此功率水平下的最长连续运行。除了约 100 小时的长期稳定性之外,我们还积累了约 100 个功率缩放周期和超过 200 小时的不连续运行,显示了这种系统的稳健性。我们报告了一种稳定可靠的 532 nm CW SF 激光器,可提供 17 W 的功率,光束质量极佳。测量结果表明其噪声强度低至 0.028% RMS。据我们所知,这是首次报告了基本 RIN 向 SH 的转移研究,我们的理论预测与实验值高度一致。本文给出的结果可在多种晶体上重现。
图 6 约 100 小时的长期功率稳定性测量;插图:以相对光功率的百分比表示的功率波动的 Allan 偏差的对数对数图。