
作者:维尔克斯 时间:2025-4-28 11:01:43
由于不存在有害的三光子吸收,LiTaO3晶体是一种很有前景的太赫兹晶体(MgSLT晶体),当泵浦波长为 800 nm 时,Mg:SLT晶体可用于太赫兹产生。光学和太赫兹波长下的非线性光学、光折变和介电(带宽除外)特性与 LiNbO3 非常相似。本文给出了通过太赫兹时域光谱测量的 1 mol% Mg 掺杂化学计量 LiTaO3晶体 (掺镁钽酸锂晶体)的吸收系数和Mg:SLT晶体的折射率光谱。进行了优化计算,并给出了使用 LiTaO3晶体的混合型高能太赫兹源的结果。使用实际可行的接触光栅,预计衍射效率约为90%。
1 简介
超短激光脉冲的光学整流是产生高能 THz 脉冲的有效方法。倾斜脉冲前缘技术是为了在 THz 生成材料中实现速度匹配光学整流而创建的,这些材料在 THz 范围内的折射率大于在光学范围内的折射率 [1]。这种强大的生成方法能够使用 0.67 mol% Mg 掺杂的化学计量 LiNbO3 (LN) [2] 产生极高的 THz 脉冲能量(高达 430 µJ)。在传统的倾斜脉冲前缘泵浦方案中,脉冲前缘倾斜是通过光栅上的衍射引入的。衍射光栅上的泵浦点被成像到 LN 晶体中,从而可以调整倾斜角。不幸的是,成像误差是由光学元件(通常是透镜或望远镜)引起的,导致泵浦脉冲的时间展宽。当使用宽泵浦光束时,在高泵浦能量的情况下,这种现象尤其明显,表现为 THz 转换效率显著降低 [3]。为了避免这种不良影响,提出了一种所谓的接触光栅 (CG) THz 源 [4]。LiNbO3 (LN) CG 所需的凹槽密度非常大,导致制造过程中出现问题并降低衍射效率。为了克服这个弱点,提出了一种混合倾斜脉冲前沿 (HTPF) 装置(图 1)[5],它将传统光栅和技术上可行的接触光栅结合成一个方案。这意味着脉冲前沿倾斜分两步实现。这使得该概念能够在两个步骤中获得脉冲前沿倾斜角变化的正切值接近相等。因此,该装置可以同时实现成像误差的减少和CG的高衍射效率。
HTPF 源的概念以及包含 LN 作为非线性光学材料的装置的优化过程描述已在参考文献 [5] 中给出。
HTPF 的两步脉冲前倾特性对 LiTaO3 (LT) 尤其有利,因为所需的倾斜角大于 LN。此外,LT 的较大带隙允许在容易获得的 800 nm 波长下进行泵浦,而不会出现三光子吸收。在目前的研究中,HTPF [5] 的优化方法适用于 LT 的情况。
图1HTPF THz 源示意图。本文中使用的符号和符号汇总于表 1
2 LiTaO3 作为潜在的太赫兹晶体
由于其卓越的 d33 二阶非线性光学张量元素 [6–8],LT 是一种很有前途的非线性频率转换材料。Mg 掺杂剂的应用和使用化学计量晶体代替同成分晶体是降低 LN 中矫顽场的有效解决方案。在 LT 的情况下也发现了类似的行为 [9, 10]。将这些解决方案应用于周期性极化的 LT 为基于准相位匹配器件的大规模非线性应用开辟了道路 [9, 11]。LT 具有极大的非线性光学系数(161 pm/V,几乎等于 LN);因此,LT 是 THz 生成的潜在候选材料 [12]。还展示了通过光学整流 [13, 14] 和差频生成过程 [15] 在畴反转 LT 结构中产生窄带 THz。
非线性光学应用,例如通过近红外超短脉冲的光学整流产生 THz,需要不存在光折变损伤。
未掺杂的化学计量 LT (SLT) 显示出比未掺杂的化学计量 LN (SLN) 更高的光折变损伤阈值 [17]。通过 Mg 掺杂减少 TaLi 反位缺陷和/或使 Li 含量更接近化学计量组成,可以进一步降低光折变灵敏度 [16]。 Mg 浓度在 0 至 2 mol% 之间的 SLT 表现出与常用作非线性频率转换器和 THz 发生器材料的 0.67 mol% 掺杂 SLN [17] 相同的损伤阈值。
在非线性材料中,除了源自通常的复杂介电函数的吸收(由于 LN 和 LT 中的声子极化子共振),泵浦波长处还可能发生多光子吸收,从而产生自由载流子,导致诱导 THz 吸收 [3]。这种影响的重要性随着泵浦强度的增加而增加,并可能导致 THz 转换效率饱和。多光子吸收发生的顺序由带隙决定。在 LN 中,在 800 nm 泵浦波长下(由于广泛使用 Ti:蓝宝石激光器而通常使用),由于 UV 吸收边缘的位置在 300 至 325 nm 之间,因此存在三光子吸收 [18, 19]。在高泵浦能量下,其对 THz 效率的不利影响已通过实验证明 [20],并通过三维模型在理论上得到证实 [21]。对于近化学计量的 LT,UV 吸收边缘值较短(264 [22, 23],260 nm [24]),这允许在容易获得的 800 nm 波长下进行泵浦,而不会出现三光子吸收。因此,在这个波长下,基于 LT 的 HTPF 源比基于 LN 的源更有前景。在设计 THz 源时,材料的 THz 吸收率至关重要,因为它会影响转换效率。由于速度匹配,有关 THz 折射率的信息也很有用。对于 LN,通过使用 Mg 掺杂的化学计量组成代替同成分组成并使用低温,可以显著降低源自复杂介电函数的吸收效应 [25, 26]。同成分 LT 在 THz 范围内的介电性能研究是多项研究的主题 [26–30]。在 0.1–2 THz 频率范围内,同成分 LT 的吸收系数值高于 LN,以实现非常极化,这与 THz 生成的情况相关 [30]。据我们所知,对于重要的非常极化,迄今为止尚未报道过未掺杂和 Mg 掺杂 SLT (Mg:SLT晶体) 的 THz 吸收。使用 Tera K8 时域 THz 光谱仪 (Menlo System) 确定了 1 mol% Mg:SLT晶体 的 THz 范围的折射率和吸收系数。为了精确设置 THz 光束的偏振,使用了线栅偏振器。测量在 300 K 下进行,并用氮气吹扫太赫兹装置以避免水吸收的影响。考虑到光谱仪的动态范围,在可接受的频率范围 0.25–2.5 THz 内计算了异常偏振的材料参数。
图2 1.0 mol%
MgSLT晶体(实线)、未掺杂的同质 LT(虚线)和 0.67
mol% Mg:SLN(点线)的 THz 吸收系数。1.0
mol% Mg:SLT晶体的太赫兹晶体折射率(插图)
图 2 中实线显示了吸收系数光谱。虚线属于未掺杂的全成分 LT
[30]。如图所示,与全成分相比,1 mol% MgSLT晶体的吸收率有所降低。从之前对 SLN 进行的 THz-TDS 调查中可以得知,具有最小 THz 吸收的最佳 Mg 浓度为 0.67 mol%。为了进行比较,图 2 还显示了 0.67
mol% SLN 的吸收光谱。如图所示,在低 THz 频率下,Mg:SLT晶体和 Mg:SLN 的吸收系数值相似。插图中显示了 1 mol% 掺镁钽酸锂晶体的折射率光谱。折射率值通常比 LN 大 30%。表 2 给出了 0.5 和 1 THz 的折射率和吸收系数数据。
表1:文本和图表中使用的符号
G1
光栅产生初始脉冲前沿倾斜
p2
CG的光栅常数
L
透镜
θi
G1处的入射角
λ0
泵浦(中心)波长
θd
G1处的衍射角
f
L的焦距
θi2
CG处的入射角
γ
LT内部所需的脉冲前沿倾斜
θd2
CG处的衍射角
γ0
空气中透镜像平面的脉冲前倾
s1
G1与透镜的距离
δ
LT 的楔角
s2
透镜与CG的距离
ng
泵浦波长处的平均折射率
s
晶体内部强太赫兹产生区域的位置
n
泵浦波长的折射率
Ld
有效THz产生长度
nTHz
太赫兹范围内的折射率
h
CG槽深
α
太赫兹范围的吸收系数
F
CG填充系数
p1
G1的光栅常数
ηCG
CG处的衍射效率
表2 :0.67 mol% Mg:SLN 和 1.0 mol% 掺镁钽酸锂晶体 与 THz 产生相关的材料特性
0.67 mol% 掺杂的 SLN
1.0 mol% 掺杂 SLT
光学整流的非线性光学系数,d (pm/V)
168 [12]
161 [12]
紫外吸收边 (nm)
~300 [19]
~260 [24]
800 nm 处的最低阶多光子吸收
3
4
ng
2.249 [31]
2.227 [32]
THz相位匹配频率(THz)
0.5
1.0
0.5
1.0
α (cm−1)
-
~30 [25]
9
27.7
7.9 [26]
15.4 [26]
nTHz
4.94 [25]
4.96 [25]
6.26
6.3
4.91 [26]
4.93 [26]
γ (°)
62.9
63.0
69.2
69.3
表 2 给出了 0.67 mol% Mg:SLN 和 1.0 mol% Mg:SLT 的材料参数。数据对应于室温。比较的观点基于 THz 生成的适用性。假设的泵浦波长为 800 nm,相位匹配 THz 频率假设为 0.5 和 1
THz。LT 在 THz 范围内的折射率和吸收系数值是当前研究的结果(详细信息如上所述)。LT 和 LN 在光折射、二阶非线性和 THz 吸收方面具有非常相似的特性。由于 LT 的 nTHz 值较大,因此需要更大的
γ(~70°,见表 2)。这意味着与 LN 相比,LT 的 Ld 减少了两个因素(等式 (4))。尽管如此,三光子吸收的缺失足以弥补这一弱点。
3 基于 LiTaO3 的 HTPF THz 源的优化
HTPF 源的概念以及包含 LN 作为非线性光学材料的装置的优化过程描述在参考文献 [5] 中给出。在目前的研究中,这种优化方法适用于 LT 的情况。给出了最相关的公式,包括数学推导在内的过程细节在此不再重复。
图 3 CG的槽密度(左刻度)和楔角(右刻度)与入射角的关系
图 4 不同
γ0 倾斜角下CG衍射效率与入射角的关系
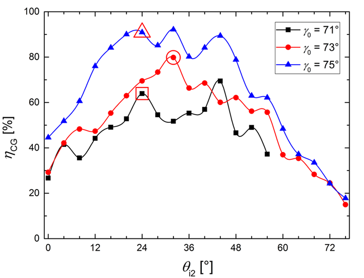
在设计基于 LT 的 HTPF 装置时,优化接触光栅的衍射效率 (ηCG) 是一个关键点。
在优化过程中,脉冲前沿倾斜值(直接进入 CG 之前)设置为 γ0 = 71°、73°
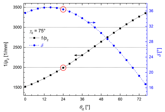
和 75°。在这些情况下,tan(γ0,conv.)/tan(γ0) 比率介于 ~2 和 ~1.5 之间,其中 γ0,conv. 是传统装置中晶体正前方的脉冲前沿倾斜角。在基于 LN [5] 的源的情况下,假设有类似的比率。对于这三种情况中的每一种,CG 上的入射角 (θi2) 被视为一个独立变量,它通过速度匹配条件确定 CG 的光栅常数 (p2),该条件由等式表示。 (3)参考文献 [5]。图 3 中绘制了
γ0 = 75° 时必要的槽密度与 θi2 的关系。槽密度随 θi2 增加,从 ~1500 1/mm 增加到 ~3500 1/mm。从技术上讲,槽密度应尽可能低。
表3:倾斜角 γ0 = 71°、73°
和 75° 时优化 HTPF 装置的几何参数
γ0 (°)
θi2 (°)
θd2 (°)
δ (°)
1/p2 (1/mm)
F
h (µm)
ηCG
(%)
71
24
41.63
28.42
2286
0.50
1.00
63.2
73
32
39.12
30.92
2352
0.40
0.80
79.8
75
24
33.64
36.41
1991
0.40
0.35
90.9
有利的是,图中绘制的δ楔角明显低于传统设置(δ=γ≈70°)中的楔角。在宽光束的情况下,其重要性显而易见,因为光束边缘导致的路径长度差异很大,可能导致太赫兹光束轮廓失真。在选择最佳几何形状时,必须将这些类型的特性(图3)与下面显示的效率结果一起考虑。在给定的入射角(因此固定p2)下,通过在宽参数范围内系统地改变CG矩形轮廓的填充因子(F)和凹槽深度(h)来定位最高ηCG [5]。数值计算由GSolver软件(Grating Solver Development Company)执行。图 4 中,显示了对应于每个
γ0 的入射角 (θi2) 的、属于最佳 F 和 h 的最高 ηCG 值。
从图中可以看出,效率随 γ0 增加。曲线的波动是与文献 [5] 中图 4a 中的分叉和图 4b 中的突然跳跃相同的效果的表现。脉冲前倾角为 γ0 = 75° 时,预计峰值衍射效率高达 ~90%。标记值属于局部最大值,其中光栅周期相对较低,F 和 h 参数在生产技术方面也具有优势。
表 3 中给出的几何参数属于图 4 中标记的高效率点。根据表 3 中的结果,我们可以得出结论,最有希望的布置发生在
γ0 = 75° 时。除了高达 90.9 % 的衍射效率之外,1991 1/mm 的凹槽密度、0.4 的填充因子和 0.35 µm 的凹槽深度也非常有利。
图 5 所示的轮廓图描绘了衍射效率与 h 和 F 的关系。最大值 (>85 %) 周围较暗区域的大小指向凹槽深度和填充因子的公差;它们分别约为 0.07 μm 和 0.02。
为了最大限度地减少成像误差,必须根据参考文献 [5] 中的方程式 (4-8) 给出的配方构建设置元件之间的距离和第一个光栅上的入射角,即几何形状。
图5 CG 的衍射效率与填充因子和凹槽深度的关系,其中
γ0 = 75°、θi2 = 24° 和 p2 = 0.502 μm
(ηmax = 90.9
%)
图 6 G1 上的所需入射角 (θi,虚线)、利特罗角 (θLittrow,实线) 及其 10° 附近与光栅槽密度的关系
因此,为了最大限度地提高效率,入射角必须尽可能接近θLittrow。在图6中,分别用虚线和实线绘制了基于公式(5-7)和Littrow角[公式(8)]所需的θi入射角与凹槽密度的关系。在两条曲线的交点处,凹槽密度为2115 1 / mm,衍射效率为93.8%。虽然具有这种特殊凹槽密度的光栅并不常见,但可以定制。与Littrow角±10°的偏差意味着可接受的高衍射效率;因此,属于Littrow配置10°附近的曲线也用虚线添加到图中。在这个区域内,目录中可以找到的最接近的凹槽密度是 1850 1/mm(LightSmyth 高效脉冲压缩透射光栅 T-1850-800s 系列)。
在图中所示的入射条件下,使用这种光栅可以达到 77.3% 的衍射效率。为了使 CG 达到高衍射效率,通常需要使用折射率匹配液。有利的是,建议的 HTPF 设置不需要这样做,从而可以通过低温冷却来减少吸收。
4 结论
指出在800nm泵浦波长下,混合型LiTaO3是一种基于LiNbO3的高能THz源。基于LiTaO3的方法的主要优点是由于在此波长下不存在三光子吸收,因此可以在800nm泵浦波长下高效产生THz。还给出了用太赫兹时域光谱测量的LiTaO3的吸收系数和折射率光谱。在低THz频率下,1mol%Mg掺杂的计量比LiTaO3和0.67mol%掺杂的计量比LiNbO3的吸收系数值相似。
优化结果表明,考虑到第一个光栅和接触光栅的损耗,泵浦光束可以耦合到 THz 发生器 LiTaO3 晶体中,最终效率约为 80%。该装置可通过实际可行的接触式光栅实现,光栅的槽密度约为 2000/mm。
原文名称:Possibility of high‑energy THz generation in LiTaO3