
作者:维尔克斯 时间:2025-4-29 12:10:55
本文研究了在非周期极化铌酸锂晶体(APPLN)中产生近单周期 THz 脉冲的可能性。使用辐射天线模型模拟由飞秒激光脉冲序列泵浦的啁啾 APPLN晶体产生 THz,相邻脉冲之间具有啁啾延迟 (m = 1, 2, 3 ... )。结果表明,通过适当选择 Dtm,可以获得从正(或负)畴产生的所有 THz 脉冲的时间重叠。如果晶体中畴长度d的啁啾率足够大,则会形成近单周期 THz 脉冲。在相反的情况下,将产生几个周期的 THz 脉冲,周期数取决于d。获得了 THz 脉冲形式的闭式表达式。对于由一系列激光脉冲泵浦的 APPLN 晶体,预计峰值 THz 电场强度为 0.3 MV/cm,其中单个脉冲的峰值强度约为 20 GW/cm2。通过聚焦 THz 光束并增加泵浦功率,场强可以达到几 MV/cm 的数量级。
1. 简介
近年来,需要强太赫兹 (THz) 脉冲的应用数量迅速增加 [1,2]。铌酸锂 (LN) 晶体中飞秒激光脉冲的光学整流 (OR) 已成为产生宽带、近单周期 THz 脉冲的最有效方法,其光谱中心频率低于 1 THz。据报道,单周期 THz 脉冲的能量创纪录地达到 0.4 mJ [3],泵浦到 THz 的转换效率 = 3.8% [4]。为了满足相位匹配条件,泵浦光束从光栅反射以获得倾斜脉冲前沿 (TPF),然后使用透镜或望远镜将其成像到晶体上。然而,成像误差限制了晶体的有效长度 [5,6];因此,进一步提高 THz 生成性能具有挑战性。尝试使用接触光栅 [7]、阶梯式光栅 [8,9] 以及阶梯式光栅与反射光栅的组合 [10] 来缓解这一问题,但仍然无法产生能量或效率接近上述值的 THz 波。众所周知 [11,12],由于 ZnTe、GaP 和 GaAs 等半导体材料在较小倾斜角 (< 30) 下的操作能力以及室温下较低的 THz 波吸收率,有效相互作用长度可以显著增加。然而,为了避免二阶和三阶多光子泵浦吸收 (MPA),这些材料必须在较长的波长 p 1.7 m 下泵浦,而此时要获得具有所需高功率的飞秒激光脉冲仍然相对具有挑战性。
值得注意的是,掺杂MgO的LN晶体(太赫兹晶体)具有非线性系数大(尤其是在无机晶体中)、带隙足够宽(最低阶有效MPA为1.03μm泵浦波长下的四光子吸收)、损伤阈值高以及非线性系数空间符号调制能力的优势。后者非常重要,因为现在可以使用高功率脉冲来泵浦太赫兹晶体周期极化铌酸锂(PPLN)晶体。横截面积为3mm×3mm的大面积太赫兹晶体PPLN晶体已经在市场上销售,甚至1cm×1.5cm的晶体最近也用于THz生成[13]。通过低温冷却可以显著降低PPLN晶体对THz波的吸收,因此可以使用长度约为2-3cm的晶体[13,14]。因此,研究在领域工程 PPLN 晶体中产生近单周期宽带 THz 脉冲的替代方法很有趣。
众所周知,使用非周期极化铌酸锂晶体 (APPLN) 可以产生宽带 THz 脉冲 [15–18]。然而,它的时间形式并不是近乎单周期的 THz 脉冲(即它不是由光谱带宽决定的),因为不同的光谱成分从THz晶体的不同位置辐射出来。与光学区域一样,可以使用布拉格光栅、啁啾镜和光栅或棱镜对进行宽带脉冲压缩的技术。然而,强烈的 THz 光束发散限制了它的应用。
Yahaghi 及其同事在文献 [19] 中详细分析了在 APPLN晶体(非周期极化铌酸锂晶体)中结合 THz 啁啾镜产生近单周期 THz 脉冲的可能性。然而,THz 啁啾镜制造及其在 THz 发生器方案中的应用困难,使实际实施变得复杂。为了避免这个问题,最近提出并分析了一种在啁啾 APPLN 晶体中使用一对具有不同啁啾速率的啁啾光泵脉冲产生近单周期 THz 脉冲的方法 [20]。泵脉冲之间的相对啁啾补偿了在THz晶体中不同位置产生的 THz 频率之间的时间偏移。因此,THz 脉冲在离开THz晶体时呈现压缩状态。
利用上述想法,我们在此引入一种新方案,用于生成具有可控 THz 场振荡数量的 THz 脉冲,从接近单周期到多周期,相应地,光谱带宽从宽带到窄带。与 [20] 中使用的激光脉冲格式不同,这里将相邻脉冲之间具有啁啾延迟的变换限制激光脉冲序列(光通信中所谓的脉冲位置调制 (PPM) 信号)视为泵浦波。可以使用双折射晶体阵列 [21] 或现代脉冲整形技术 [22] 获得此类激光脉冲序列。
其工作原理与 [20] 中介绍的类似;它在物理上基于这样一个事实:足够多的锁相光谱分量的临时重叠会导致超短脉冲的形成。众所周知 [16–18],在 APPLN 晶体通过单个变换受限激光脉冲泵浦的情况下,产生的 THz 波形对应于晶体的域结构。更确切地说,它对应于 APPLN 域长度分布的空间反转副本(或所谓的相位共轭副本),考虑到激发激光脉冲的传播速度比辐射的 THz 波更快。当泵浦波是具有延迟 tm(m = 1、2、3 ... M)的激光脉冲序列时,会产生这些时间偏移副本集。通过适当选择Dtm,可以获得所有生成频率(在DwTHz 范围内)的暂时重叠,在 M 和DwTHz 足够大的情况下,可以形成接近单周期的 THz 脉冲,其中 THz 是 APPLN 中通过单独的激光脉冲生成 THz 的带宽。
本文为在由具有啁啾延迟时间的激光脉冲序列泵浦的啁啾APPLN晶体中有效产生近单周期THz脉冲提供了一个简单的理论模型。获得了产生的THz脉冲的光谱和波形的闭式表达式。对于由激光脉冲序列泵浦的APPLN晶体,预测峰值THz电场强度为0.3 MV / cm,序列中单个脉冲的峰值强度约为20 GW / cm2。通过聚焦THz光束并使用更高的泵浦功率,电场强度可以提高一个数量级。
2. 理论模型
我们考虑一个具有高斯时间和空间分布的变换受限光脉冲,该脉冲沿 APPLN 晶体的 x 轴传播,其非线性系数 d33=d33(x) 分布不均匀。APPLN 晶体由 N 个域组成,这些域的长度为 lk(k= ,2...N),这些域沿泵浦光束传播方向减小。在每个相邻域中,非线性系数 d33 的符号相反(图 1)。
图 1. APPLN 晶体的示意图,其中白色和深色表示非线性系数符号相反的区域
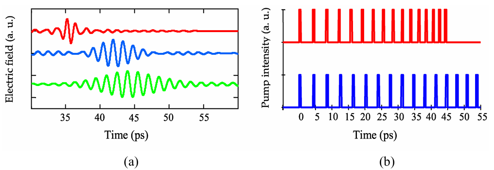
图 2. 原始激光脉冲(红线)及其延迟 Δt2(蓝曲线)和
Δt3(绿曲线)的复制品在 APPLN 晶体中产生的 THz 脉冲的时间形式。虚线表示当前三个正畴被延迟 Δt1 = 0、Δt2 和 Δt3 的激光脉冲激发时,它们辐射的场几乎完美重叠。
